T1a triple negative breast cancer has the worst prognosis among all the small tumor (<1 cm) of TNBC and HER2-rich subtypes
Introduction
Breast cancer is the most common female malignancy with increasing incidence worldwide (1). Its biological heterogeneity indicates personalized treatment strategies. Triple negative breast cancer (TNBC), defined as lack of expression of estrogen receptor (ER), progesterone receptor (PR) and human epidermal growth factor receptor 2 (HER2), accounts for 15% of breast cancers (2). Due to the absence of hormone receptors (HoR) and other therapeutic targets, there is scarce of effective therapies for TNBC and it usually associates with high recurrence risk and mortality compared with other molecular subtypes (3,4).
The prognostic value of traditional clinicopathological parameters such as tumor grade, lymph node involvement and tumor size were questionable in TNBC (5). Ki-67 staining was also reported to be not associated with TNBC outcome (6). Epidermal growth factor receptor (EGFR) and androgen receptor (AR) may be correlated with TNBC survival, therefore, anti-EGFR and anti-AR targeted therapies served as potential alternative options in case of chemotherapy failures (7,8). Pathological complete response (pCR) also indicated good prognosis for TNBC (9). Anthracycline or anthracycline-taxane-based regimens could achieve pCR rates up to 20–45% for TNBC and TNBC patients with pCR had superior prognosis compared to non-TNBC patients who achieved pCR (9-11). Of interest, small (cT1a/b) node-negative TNBC was potentially aggressive as well. It had a significantly increased risk of loco-regional relapse [hazard ratio (HR) 3.58; 95% confidence interval (CI): 1.40–9.13] and breast cancer related events (HR 2.18; 95% CI: 1.04–4.57) compared to luminal A subtype (12). Consequently, the optimal prognostic indicator and adjuvant regimen for T1a TNBC remained contentious.
Chemotherapy was the major treatment for TNBC in adjuvant setting (13). The National Comprehensive Cancer Network (NCCN) guideline suggested adjuvant chemotherapy for T1b and T1c TNBC rather than T1a tumors, as small tumors generally had favorable prognosis (14). However, for another aggressive subtype with HER2+/HoR−, chemotherapy was recommended to all T1a–T1c subgroups. Additionally, several studies reported the aggressiveness of TNBC with small tumor size (12,15) and necessity of enhanced disease control with chemotherapy (16,17). It raised the concern that whether omission of adjuvant chemotherapy might lead to undertreatment for T1a TNBC. Given most of clinical trials excluded small-size tumors, limited data were provided on T1a TNBC and the understanding of its biological behavior remained insufficient.
Therefore, our study mainly focused on whether T1a TNBC had worse prognosis than the other T1 TNBC and HER2+/HoR− tumors. The present study analyzed the Surveillance, Epidemiology, and End Results (SEER) database to explore the clinicopathological parameters of T1a/T1b/T1c TNBC tumors and evaluate the prognosis of T1a TNBC and the impact of tumor size and intrinsic subtype on TNBC survival. We present the following article in accordance with the STROBE reporting checklist (available at http://dx.doi.org/10.21037/gs-20-762).
Methods
Study design
This study intended to investigate whether T1a TNBC had worse prognosis than the other T1 TNBC and HER2+/HoR− breast cancer. Since T1a TNBC was not recommended to have chemotherapy by NCCN guideline, our study may provide further evidence on whether chemotherapy would be a necessity for T1a TNBC in adjuvant setting.
The study population included T1 TNBC and HER2+/HoR− patients in SEER database between 2010 and 2012 to ensure sufficient follow-up periods. The primary study subject was to explore whether T1a TNBC as a unique entity (small tumor with aggressive subtype) had comparable prognosis to the other T1 TNBC and HER2+/HoR− tumors. The controls were set to be T1b/T1c TNBC (to explore the impact of tumor size within TNBC subtype) and T1a/T1b HER2+/HoR− tumors (to explore the impact of intrinsic subtype). The following information was extracted for further stratified analyses: demographic variables including age at diagnosis, race, marital status, laterality, histological grade, T/N Stage, American Joint Committee on Cancer (AJCC) stage, radiation therapy, survival and cause of death. The study endpoints were breast cancer specific survival (BCSS) and overall survival (OS), and analyzed by Kaplan-Meier method and Cox proportion hazard regression.
Study population and data collection
Population-based data were extracted from SEER database founded by National Cancer Institute. SEER database is an open-access resource for cancer-based epidemiology and survival analyses (see website “https://seer.cancer.gov/data/” for detailed information). Data access was authorized by SEER Program and acquired via Account “11417-Nov2015”. Relevant case list was generated from SEER 18 incidence database (released April 2016, based on the November 2015 submission). SEER*Stat software from the National Cancer Institute (Surveillance Research Program, National Cancer Institute SEER*Stat software, http://www.seer.cancer.gov/seerstat) (version 8.3.2) was used to identify eligible patients.
Compliance with ethical standards
The research work complied with the current laws of China and approved by the Institutional Review Board of Peking Union Medical College Hospital (protocol No. S-K840). The data released by the SEER database do not require patient informed consent because cancer is a reportable disease in every state of the United States and the procedures are in accordance with the ethical standards of the institutional and national research committee and with the 1964 Helsinki declaration and its later amendments or comparable ethical standards.
Inclusion and exclusion criteria
The present study included the female breast cancer patients (age: 18–80 years old) diagnosed between 2010 and 2012. The included participants should have unilateral invasive ductal breast cancer as the primary and only malignancy. For pathological parameters, patients were confined to T1a–T1c, AJCC TNM stage I–III and intrinsic subtypes with luminal A (HoR+ and HER2−), HER2-rich (HoR− and HER2+) and TNBC subtypes. Patients were excluded with breast cancer diagnosed by autopsy or no available information on treatment/survival. The following information was extracted: demographic variables including age at diagnosis, Race, marital status, laterality, histological grade, T/N stage, AJCC stage, radiation therapy, survival and cause of death.
Statistical analysis
The distribution of the demographical and clinicopathological variables was examined. According to the distribution of variables, Kruskal-Wallis test and Pearson Chi-square was adopted for analyzing between-group difference.
Cases without survival data or with incomplete follow-up duration were excluded. BCSS was defined as the period between breast cancer diagnosis and death due to breast cancer, OS as the period between breast cancer diagnosis and death due to all causes (including breast cancer). Kaplan-Meier method was used to generate survival curves. Univariate and multivariate survival analyses were conducted by Cox proportion hazard regression analysis. Dummy variables were introduced to calculate HR and CI for each degree of categorical variables. All the statistical tests were two-sided, and statistical significance was defined as P value <0.05. Statistical analyses were performed under Stata software (version 13.0).
Results
Demographics and clinicopathological characteristics of study population
Total, 6,953 TNBC and 2,648 HER2+/HoR− T1 breast cancer patients were included in this study. Baseline characteristics of study population were summarized in Table 1 and Table S1. Patients with T1a TNBC tended to have older age, lower grade, AJCC stage and N stage.

Full table
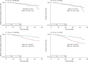
T1a TNBC had comparable survival with T1b TNBC and T1a/T1b TNBC had better survival than T1c TNBC
There was no survival difference between T1a and T1b TNBC in terms of BCSS (univariate HR 0.66, 95% CI: 0.34–1.31, P=0.24; multivariate HR 0.58, 95% CI: 0.29–1.16, P=0.13) and OS (univariate HR 0.77, 95% CI: 0.44–1.36, P=0.37; multivariate HR 0.74, 95% CI: 0.41–1.33, P=0.31) (Figure 1A,B, Table 2). However, Kaplan-Meier curves showed a trend of worse prognosis of T1a TNBC than T1b TNBC, which was contradictory to the common sense that large tumor usually had poor prognosis (Figure 1A,B).


Full table
T1c tumors was strongly associated with poor BCSS (univariate HR 2.41, 95% CI: 1.55–3.73, P<0.001; multivariate HR 1.81, 95% CI: 1.15–2.86, P=0.01) and OS (univariate HR 2.25, 95% CI: 1.59–3.19, P<0.001; multivariate HR 1.93, 95% CI: 1.33–2.79, P<0.001), compared with T1b tumors (Figure 1C,D, Table 2).
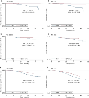
T1a TNBC had worse prognosis than T1a and T1b HER2+/HoR− cancer
Both univariate and multivariate analyses proved worse BCSS and OS of T1a TNBC tumors than T1a HER2+/HoR− tumors (BCSS: univariate HR 3.13, 95% CI: 1.14–8.33, P=0.03; multivariate HR 3.23, 95% CI: 1.05–9.09, P=0.03. OS: univariate HR 2.63, 95% CI: 1.27–5.56, P=0.01; multivariate HR 2.63, 95% CI: 1.25–5.56, P=0.01) (Figure 2A,B, Table 3), whereas T1b TNBC patients revealed no survival difference compared with T1b HER2+/HoR− tumors in terms of BCSS (univariate HR 1.47, 95% CI: 0.87–2.50, P=0.15; multivariate HR 1.54, 95% CI: 0.89–2.63, P=0.12) or OS (univariate HR 1.32, 95% CI: 0.90–1.92, P=0.16; multivariate HR 1.30, 95% CI: 0.88–1.92, P=0.19) (Figure 2C,D, Table 3). For T1c tumor, T1c TNBC had poorer survival than T1c HER2+/HoR− (BCSS: univariate HR 1.32, 95% CI: 1.09–1.61, P=0.005; multivariate HR 1.39, 95% CI: 1.11–1.72, P=0.003. OS: univariate HR 1.22, 95% CI: 1.05–1.41, P=0.009; multivariate HR 1.27, 95% CI: 1.08–1.49, P=0.004) (Figure 2E,F, Table 3).


Full table
Since T1a TNBC had worse prognosis than T1a HER2+/HoR− and showed a trend with poorer survival than T1b TNBC, it raised the concern that whether T1a TNBC had the worst prognosis among small tumors (less than 1 cm) of TNBC and HER2-rich subtypes. To prove this hypothesis, further comparison was performed between T1a TNBC and T1b HER2+/HoR−. BCSS of T1a TNBC was significantly worse than that of T1b HER2+/HoR− in both univariate (HR 3.33, 95% CI: 1.08–10.0, P=0.037) and multivariate (HR 5.26, 95% CI: 1.61–16.7, P=0.006) analyses. Multivariate analyses for OS also drew the similar conclusion that T1a TNBC associated with increasing mortality (HR 3.03, 95% CI: 1.27–7.14, P=0.013) (Figure 3 and Table 4). Both BCSS and OS data supported the notion that T1a TNBC without chemotherapy has the worst prognosis among all the small tumor (<1 cm) of TNBC and HER2-rich subtypes.


Full table
Discussion
Breast cancer smaller than 1cm was conventionally considered to be with good prognosis (18). However, for TNBC and HER2-rich subtypes, small tumors may have high risk of recurrence and mortality (12,19). NCCN guidelines suggested to consider or recommend adjuvant chemotherapy for T1b–T1c TNBC and T1a–T1c HER2+/HoR− tumors, but not for T1a TNBC, especially those without regional lymph nodes metastases. Given TNBC as a more aggressive subtype than HER2+/HoR−, omission of adjuvant chemotherapy could potentially result in undertreatment for T1a TNBC patients. To validate the above hypothesis, the present study compared the survival of T1a TNBC with the other T1 TNBC and HER2+/HoR− breast cancer. It proved that T1a TNBC had the worst prognosis among all the small tumors (<1 cm) of TNBC and HER2-rich subtype.
Since the data were collected from the SEER database from 2010 to 2012, it could be presumed that treatment strategies generally followed the NCCN guideline, meaning the great majority of T1b TNBC and T1a/T1b HER2+/HoR− patients received adjuvant chemotherapy, while T1a TNBC did not. Accordingly, it could be concluded that without chemotherapy, even small TNBC (T1a) has increasing death risk than its counterpart of HER2+/HoR− tumor which generally received chemotherapy according to NCCN guideline. Thus, intensive adjuvant treatment would be potentially beneficial to improve T1a TNBC survival.
Comparisons between T1a TNBC and T1b HER2+/HoR− provided additional evidence to this viewpoint. According to the present study, T1a TNBC had worse survival than T1a HER2+/HoR− tumors, indicating even in small tumor <0.5 cm, TNBC still have more aggressive biological behavior than HER2-rich subtype. Furthermore, T1a TNBC not only had poorer prognosis than T1a HER2+/HoR−, but also worse than T1b HER2+/HoR−. Given both T1a and T1b HER2+/HoR− were recommended to have chemotherapy by NCCN guideline, T1a TNBC deserved more intensive adjuvant therapy.
It was accepted that larger tumor size was generally associated with worse outcomes, however the comparison between T1a and T1b TNBC patients not only showed no significant difference in BCSS and OS, but even a poorer trend of prognosis for T1a TNBC. It can be speculated that adjuvant chemotherapy benefited T1b TNBC patients to overcome the tumor size effect, and adjuvant chemotherapy may be also beneficial to T1a TNBC.
Owing to rapid progression of mammographic screening methods, the proportion of early-stage breast cancer largely increased during the past decade (20), and the majority of screen-detected breast cancers fell into the T1 category (21). Although treatment decision-making may depend on extent of disease, it remained debatable if the criterion of T1 classification could reflect substantial biological differences of breast cancer. In line with our study, several prospective studies reported similar prognoses of T1a and T1b TNBC in terms of higher mortality as T1c tumors. Conversely, Ichizawa et al. investigated long-term survival of T1 stage breast cancer in over 1,700 Japanese breast cancer patients, and found no significant difference between T1a and T1b tumors on disease-free survival and OS (22); study by Ignatov et al. enrolled 1,008 T1a and T1b breast cancers and demonstrated greater impact of molecular subtype than tumor size on patients’ survival (23).
In summary, all above finding suggested that T1a TNBC had the worst prognosis among all small tumors (less than 1cm) of TNBC and HER2+/HoR− subtypes, and deserved more intensive treatment.
Our study had several limitations. Since this was a retrospective analysis, selection bias could not be eliminated. The effect of baseline characteristics mismatch may not be totally justified despite the performance of multivariate analysis. Additionally, the SEER database did not incorporate treatment information such as adjuvant and neoadjuvant treatment, so the impact of chemotherapy could not directly evaluate. Also, information on other molecular features of TNBC was unavailable, impeding subsequent investigation on the association between biological feature and prognosis. Furthermore, T1mic subcategory was not included due to the small sample size.
Conclusions
Although T1a TNBC had the smallest tumor size and chemotherapy was usually omitted for this subgroup, it had the worst prognosis among all the small tumors (<1 cm) of TNBC and HER2+/HoR− subtypes, indicating the necessity of more intensive adjuvant treatment. Given that T1a and T1b had comparable survival and T1c TNBC showed significant worse prognosis, one centimeter could potentially serve as a better cutoff to subdivide T1 TNBC.
Acknowledgments
We would like to express our gratitude to Mr. Essen He who helped us improving the English expression.
Funding: This study was funded by Key Projects in the National Science and Technology Pillar Program during the Twelfth Five-year Plan Period (No. 2014BAI08B00), Beijing Municipal Science and Technology Project (No. D161100000816005) and State Key Laboratory of Medicinal Chemical Biology (Nankai University) (No. 2019014).
Footnote
Reporting Checklist: The authors have completed the STROBE reporting checklist. Available at http://dx.doi.org/10.21037/gs-20-762
Conflicts of Interest: All authors have completed the ICMJE uniform disclosure form (available at http://dx.doi.org/10.21037/gs-20-762). The authors have no conflicts of interest to declare.
Ethical Statement: The authors are accountable for all aspects of the work in ensuring that questions related to the accuracy or integrity of any part of the work are appropriately investigated and resolved. The research work complied with the current laws of China and approved by the Institutional Review Board of Peking Union Medical College Hospital (Protocol No. S-K840). The data released by the SEER database do not require patient informed consent because cancer is a reportable disease in every state of the United States and the procedures are in accordance with the ethical standards of the institutional and national research committee and with the ethical standards of the Declaration of Helsinki (as revised in 2013).
Open Access Statement: This is an Open Access article distributed in accordance with the Creative Commons Attribution-NonCommercial-NoDerivs 4.0 International License (CC BY-NC-ND 4.0), which permits the non-commercial replication and distribution of the article with the strict proviso that no changes or edits are made and the original work is properly cited (including links to both the formal publication through the relevant DOI and the license). See: https://creativecommons.org/licenses/by-nc-nd/4.0/.
References
- Kamangar F, Dores GM, Anderson WF. Patterns of cancer incidence, mortality, and prevalence across five continents: defining priorities to reduce cancer disparities in different geographic regions of the world. J Clin Oncol 2006;24:2137-50. [Crossref] [PubMed]
- Cleator S, Heller W, Coombes RC. Triple-negative breast cancer: therapeutic options. Lancet Oncol 2007;8:235-44. [Crossref] [PubMed]
- Dent R, Trudeau M, Pritchard KI, et al. Triple-negative breast cancer: clinical features and patterns of recurrence. Clin Cancer Res 2007;13:4429-34. [Crossref] [PubMed]
- O'Brien KM, Cole SR, Tse CK, et al. Intrinsic breast tumor subtypes, race, and long-term survival in the Carolina Breast Cancer Study. Clin Cancer Res 2010;16:6100-10. [Crossref] [PubMed]
- Kumar P, Aggarwal R. An overview of triple-negative breast cancer. Arch Gynecol Obstet 2016;293:247-69. [Crossref] [PubMed]
- Aleskandarany MA, Green AR, Benhasouna AA, et al. Prognostic value of proliferation assay in the luminal, HER2-positive, and triple-negative biologic classes of breast cancer. Breast Cancer Res 2012;14:R3. [Crossref] [PubMed]
- Medina MA, Oza G, Sharma A, et al. Triple-Negative Breast Cancer: A Review of Conventional and Advanced Therapeutic Strategies. Int J Environ Res Public Health 2020;17:2078. [Crossref] [PubMed]
- Wang C, Pan B, Zhu H, et al. Prognostic value of androgen receptor in triple negative breast cancer: A meta-analysis. Oncotarget 2016;7:46482-91. [Crossref] [PubMed]
- von Minckwitz G, Untch M, Blohmer JU, et al. Definition and impact of pathologic complete response on prognosis after neoadjuvant chemotherapy in various intrinsic breast cancer subtypes. J Clin Oncol 2012;30:1796-804. [Crossref] [PubMed]
- Liedtke C, Mazouni C, Hess KR, et al. Response to neoadjuvant therapy and long-term survival in patients with triple-negative breast cancer. J Clin Oncol 2008;26:1275-81. [Crossref] [PubMed]
- Straver ME, Glas AM, Hannemann J, et al. The 70-gene signature as a response predictor for neoadjuvant chemotherapy in breast cancer. Breast Cancer Res Treat 2010;119:551-8. [Crossref] [PubMed]
- Cancello G, Maisonneuve P, Rotmensz N, et al. Prognosis in women with small (T1mic,T1a,T1b) node-negative operable breast cancer by immunohistochemically selected subtypes. Breast Cancer Res Treat 2011;127:713-20. [Crossref] [PubMed]
- Yagata H, Kajiura Y, Yamauchi H. Current strategy for triple-negative breast cancer: appropriate combination of surgery, radiation, and chemotherapy. Breast Cancer 2011;18:165-73. [Crossref] [PubMed]
- Network NCC. NCCN Clinical Practice Guidelines in Oncology. Breast Cancer Version 2. 2020. Available online: https://www.nccn.org/professionals/physician_gls/pdf/breast.pdf
- Kaplan HG, Malmgren JA, Atwood M. T1N0 triple negative breast cancer: risk of recurrence and adjuvant chemotherapy. Breast J 2009;15:454-60. [Crossref] [PubMed]
- Ho AY, Gupta G, King TA, et al. Favorable prognosis in patients with T1a/T1bN0 triple-negative breast cancers treated with multimodality therapy. Cancer 2012;118:4944-52. [Crossref] [PubMed]
- Wolters R, Ebner F, Janni W, et al. Do T1a breast cancers profit from adjuvant systemic therapy? A multicenter retrospective cohort study of 325 T1a-patients. Arch Gynecol Obstet 2016;294:377-84. [Crossref] [PubMed]
- Hanrahan EO, Gonzalez-Angulo AM, Giordano SH, et al. Overall survival and cause-specific mortality of patients with stage T1a,bN0M0 breast carcinoma. J Clin Oncol 2007;25:4952-60. [Crossref] [PubMed]
- Lin NU, Vanderplas A, Hughes ME, et al. Clinicopathologic Features, Patterns of Recurrence, and Survival Among Women with Triple-Negative Breast Cancer in the National Comprehensive Cancer Network. Cancer 2012;118:5463-72. [Crossref] [PubMed]
- Berry DA, Cronin KA, Plevritis SK, et al. Effect of screening and adjuvant therapy on mortality from breast cancer. N Engl J Med 2005;353:1784-92. [Crossref] [PubMed]
- Veronesi U, Viale G, Rotmensz N, et al. Rethinking TNM: breast cancer TNM classification for treatment decision-making and research. Breast 2006;15:3-8. [Crossref] [PubMed]
- Ichizawa N, Fukutomi T, Iwamoto E, et al. Long-term results of T1a, T1b and T1c invasive breast carcinomas in Japanese women: validation of the UICC T1 subgroup classification. Jpn J Clin Oncol 2002;32:108-9. [Crossref] [PubMed]
- Ignatov T, Eggemann H, Burger E, et al. Management of small T1a/b breast cancer by tumor subtype. Breast Cancer Res Treat 2017;163:111-8. [Crossref] [PubMed]

